Ax2 Bx C 0

Math Complete The Square To Derive The Quadratic Formula Studypk Quadratics Quadratic Formula Math Formula Chart

Math Complete The Square To Derive The Quadratic Formula Studypk Quadratics Quadratic Formula Math Formula Chart

4 4 Solve Ax 2 Bx C 0 By Factoring Start At 9 07 If You Feel Ready Fractions Worksheets Education Templates Factoring Quadratics

4 4 Solve Ax 2 Bx C 0 By Factoring Start At 9 07 If You Feel Ready Fractions Worksheets Education Templates Factoring Quadratics

Quadratic Expression Quadratic Equation Quadratic Formula Quadratics Math Methods Math Classroom Posters

Quadratic Expression Quadratic Equation Quadratic Formula Quadratics Math Methods Math Classroom Posters

The Quadratic Formula Math Infographics Math Infographic Basic Math Skills Math

The Quadratic Formula Math Infographics Math Infographic Basic Math Skills Math

For Quadratics In Gre Algebra Be Sure You Know The Quadratic Equation Ax 2 Bx C 0 But Also Be Sure You Know The Quadratics Algebra Quadratic Equation

For Quadratics In Gre Algebra Be Sure You Know The Quadratic Equation Ax 2 Bx C 0 But Also Be Sure You Know The Quadratics Algebra Quadratic Equation

Quadratic Formula Quadratics Basic Algebra Quadratic Formula

Quadratic Formula Quadratics Basic Algebra Quadratic Formula

Quadratic Formula Quadratics Basic Algebra Quadratic Formula

Ø Por ejemplo 14x2 45x 51 es irreducible porque hay un número primo 3 que divide de forma exacta a 45 y 51 pero no a 14 y 51 no se puede dividir de forma exacta por 32.

Ax2 bx c 0. If you have an absolute value of a that is greater than 1 the parabola will be narrower than the parental quadratic function. Ø El primer término por ejemplo a en ax2bxc no es un múltiplo de p. Starting with ax2 bx c 0 and show each step to end up with. Step 1 Trying to factor a multi variable polynomial.

Before solving a quadratic equation using the Quadratic Formula its vital that you be sure the equation is in this form. The numbers a b and c are the coefficients of the equation and may be distinguished by calling them respectively the quadratic coefficient the linear. You can put this solution on YOUR website. If discriminant is greater than 0 the roots are real and different.

Ax 2 bx c 0. If p xax2bxc and abc0 then one zero is. The quadratic equation is given by. Quadratic equation is a second order polynomial with 3 coefficients - a b c.

But sometimes the quadratic is too messy or it doesnt factor at all or you just dont feel like factoring. What is the sum of the squares of the roots of x2 - 5x - 4 0nB. In algebra a quadratic equation is any equation that can be rearranged in standard form as a x 2 b x c 0 displaystyle ax2bxc0 where x represents an unknown and a b and c represent known numbers where a 0. 11 Factoring ax2 xb c Try to factor this multi-variable trinomial using.

Any equation which is formed like ax² bx c 0 is a Quadratic Equation where a is a quadratic coefficient b is a linear coefficient and c is a constant. Compute answers using Wolframs breakthrough technology knowledgebase relied on by millions of students professionals. If discriminant is less than 0 the roots are complex and different. By using this website you agree to our Cookie Policy.

Ax 2 bx c 0 where x is an unknown a is referred to as the quadratic coefficient b the linear coefficient and c the constant. Quadratic Formula Proven Consider equation in a standard form. The equation becomes linear if a in the equation equals to zero. The solution to the quadratic equation is given by 2 numbers x 1 and x 2.

For a cubic equation x3 ax2 bx c 0 the discriminant is a2b2 18 abc 4 b3 4 a3c 27 c2. We now want to find m and n and we know that the product of m and n is -8 and the sum of m and n multiplied by a 3 is b -2 which means that were looking for two factors of -24 whose sum is -2 and we also know that one of them is positive and of them is negative. Ax2bxc0 No solutions found Step by step solution. The highest exponent of the equation is always 2.

The term b2-4ac is known as the discriminant of a quadratic equation. If you dont you might use the wrong values for a b or c and then the formula will give incorrect solutions. If discriminant is equal to 0 the roots are real and equal. In algebra a quadratic equation is any polynomial equation of the second degree with the following form.

The discriminant tells the nature of the roots. In the case of a quadratic equation ax2 bx c 0 the discriminant is b2 4 ac. We can change the quadratic equation to the form of. Discriminant in mathematics a parameter of an object or system calculated as an aid to its classification or solution.

X -x 1x -x 2 0. This website uses cookies to ensure you get the best experience. Ax2 bx c 0. The numerals a b and c are coefficients of the equation and they represent known numbers.

For math science nutrition history geography engineering mathematics linguistics sports finance music WolframAlpha brings expert-level knowledge and. This algebra video tutorial shows you how to factor trinomials of the form ax2bxc by grouping whenever the leading coefficient is not 1. 3x2-2x-8 We can see that c -8 is negative which means that m and n does not have the same sign. Often the simplest way to solve ax 2 bx c 0 for the value of x is to factor the quadratic set each factor equal to zero and then solve each factor.

Ax2bxc0 - Quadratic Equation Calculator - Symbolab. And that the line has an y-intercept of 0 1 which could have been determined from the c-value which is 1. In the equation a is a non-zero value.

Quadratic Formula To Solve Quadratic Equations Algebra Formulas Teachoo Jpg Quadratics Algebra Formulas Solving Quadratics

Quadratic Formula To Solve Quadratic Equations Algebra Formulas Teachoo Jpg Quadratics Algebra Formulas Solving Quadratics

Http Www Aplustopper Com Solving Quadratic Equations Quadratic Formula Quadratics Quadratic Equation Solving Quadratic Equations

Http Www Aplustopper Com Solving Quadratic Equations Quadratic Formula Quadratics Quadratic Equation Solving Quadratic Equations

Nature Of Roots Of Quadratic Equations Discriminant Of Quadratic Equation Quadratics Quadratic Equation Nature Of Roots

Nature Of Roots Of Quadratic Equations Discriminant Of Quadratic Equation Quadratics Quadratic Equation Nature Of Roots

Parabola Y Ax2 Bx C Melalui 3 8 Yang Menyinggung Garis 4x Y 4 Di Titik 1 8 Math Parabola Math Equations

Parabola Y Ax2 Bx C Melalui 3 8 Yang Menyinggung Garis 4x Y 4 Di Titik 1 8 Math Parabola Math Equations

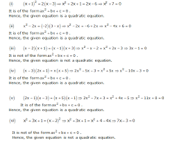
Ncert Solutions For Class 10 Maths Quadratic Equations Ex 4 1 Q 1 A Quadratics Quadratic Equation Equations

Ncert Solutions For Class 10 Maths Quadratic Equations Ex 4 1 Q 1 A Quadratics Quadratic Equation Equations

Ncert Solutions For Class 10 Maths Chapter 4 Quadratic Equations 1 Ncertsolutionsforclass10mathschapter4 Class10quad Quadratics Quadratic Equation Equations

Ncert Solutions For Class 10 Maths Chapter 4 Quadratic Equations 1 Ncertsolutionsforclass10mathschapter4 Class10quad Quadratics Quadratic Equation Equations

Stranded In This Spooky Town Solution By Radicals Solutions To The General Equations Ax B 0 Ax 2 Bx C 0 Ax 3 Bx 2 Cx D Galois Theory Equations Solutions

Stranded In This Spooky Town Solution By Radicals Solutions To The General Equations Ax B 0 Ax 2 Bx C 0 Ax 3 Bx 2 Cx D Galois Theory Equations Solutions

Quadratic Formula Quadratics Studying Math Math Quotes

Quadratic Formula Quadratics Studying Math Math Quotes

The Quadratic Formula An Introduction Lesson With Practice By Mathberry Lane Quadratics Quadratic Formula Solving Quadratic Equations

The Quadratic Formula An Introduction Lesson With Practice By Mathberry Lane Quadratics Quadratic Formula Solving Quadratic Equations

Intro To The Quadratic Formula This Is A Brief 9 Slide Powerpoint Presentation To Introduce The Quadratic Formu Quadratics Quadratic Formula Math Lesson Plans

Intro To The Quadratic Formula This Is A Brief 9 Slide Powerpoint Presentation To Introduce The Quadratic Formu Quadratics Quadratic Formula Math Lesson Plans

Solve Quadratic Equations Graphing Factoring Ax 2 Bx C Distance Learning Solving Quadratic Equations Quadratics Quadratic Equation

Solve Quadratic Equations Graphing Factoring Ax 2 Bx C Distance Learning Solving Quadratic Equations Quadratics Quadratic Equation

Selina Concise Mathematics Class 10 Icse Solutions Quadratic Equations A Plus Topper Selinaconcis Quadratics Quadratic Equation Graphing Linear Inequalities

Selina Concise Mathematics Class 10 Icse Solutions Quadratic Equations A Plus Topper Selinaconcis Quadratics Quadratic Equation Graphing Linear Inequalities

Pin On Math

Pin On Math

Http Www Aplustopper Com Solving A Quadratic Equation By Factoring Quadratics Quadratic Equation Radical Equations

Http Www Aplustopper Com Solving A Quadratic Equation By Factoring Quadratics Quadratic Equation Radical Equations

Source : pinterest.com