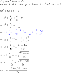
Tentukanlah Akar Akar Persamaan Kuadrat Berikut Jawaban Soal Tvri 23 Juli 2020

Tentukanlah Akar Akar Persamaan Kuadrat Berikut Jawaban Soal Tvri 23 Juli 2020

Persamaan Kuadrat Rumus Abc Akar Akar Pk Baru Contoh Soal

Persamaan Kuadrat Rumus Abc Akar Akar Pk Baru Contoh Soal

Jumlah Dan Hasil Kali Akar Persamaan Kuadrat Idschool

Jumlah Dan Hasil Kali Akar Persamaan Kuadrat Idschool

Akar Akar Persamaan Kuadrat Soal Undip Request Youtube

Akar Akar Persamaan Kuadrat Soal Undip Request Youtube

Rumus Persamaan Kuadrat Matematika Lengkap

Rumus Persamaan Kuadrat Matematika Lengkap

Jumlah Dan Hasil Kali Akar Akar Pers Kuadrat

Jumlah Dan Hasil Kali Akar Akar Pers Kuadrat

Jumlah Dan Hasil Kali Akar Akar Pers Kuadrat

Tutorial Cara Menentukan Akar Akar Persamaan Kuadrat Dengan Cara Memfaktorkan Bagian 2 Youtube

Tutorial Cara Menentukan Akar Akar Persamaan Kuadrat Dengan Cara Memfaktorkan Bagian 2 Youtube

Menentukan Akar Persamaan Kuadrat Jawaban Soal Tvri 21 Juli

Menentukan Akar Persamaan Kuadrat Jawaban Soal Tvri 21 Juli

Tentukan Akar Akar Persamaan Kuadrat X2 8x 12 0 Dengan Menggunakan Metode Berikut

Tentukan Akar Akar Persamaan Kuadrat X2 8x 12 0 Dengan Menggunakan Metode Berikut

Carilah Akar Akar Persamaan Kuadrat 6x2 5x 6 0

Carilah Akar Akar Persamaan Kuadrat 6x2 5x 6 0

Tentukan Akar Akar Persamaan Kuadrat X2 8x 12 0 Dengan Menggunakan Metode Berikut

Tentukan Akar Akar Persamaan Kuadrat X2 8x 12 0 Dengan Menggunakan Metode Berikut

Tutorial Cara Menentukan Akar Akar Persamaan Kuadrat Dengan Menggunakan Kuadratik Rumus Abc Bag Youtube

Tutorial Cara Menentukan Akar Akar Persamaan Kuadrat Dengan Menggunakan Kuadratik Rumus Abc Bag Youtube

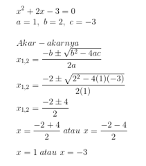
Carilah Akar Akar Persamaan Kuadrat Berikut Jawaban Soal Tvri 23 Juli 2020 Sma

Carilah Akar Akar Persamaan Kuadrat Berikut Jawaban Soal Tvri 23 Juli 2020 Sma

Menentukan Persamaan Kuadrat Baru Yang Akar Akarnya A B Dan B A Adalah Youtube

Menentukan Persamaan Kuadrat Baru Yang Akar Akarnya A B Dan B A Adalah Youtube

Contoh Soal Pemfaktoran Persamaan Kuadrat Dan Penyelesaiannya Barisan Contoh

Contoh Soal Pemfaktoran Persamaan Kuadrat Dan Penyelesaiannya Barisan Contoh

Contoh Soal Persamaan Kuadrat Dengan Cara Pemfaktoran Dapatkan Contoh

Contoh Soal Persamaan Kuadrat Dengan Cara Pemfaktoran Dapatkan Contoh

Akar Akar Persamaan Kuadrat 2x X 3 0 Adalah A Dan B Persamaan Kuadrat Baru Yang Akar Akarnya Brainly Co Id

Akar Akar Persamaan Kuadrat 2x X 3 0 Adalah A Dan B Persamaan Kuadrat Baru Yang Akar Akarnya Brainly Co Id

Akar Akar Persamaan Kuadrat 2x 3x 4 0 Adalah P Dan Q Persamaan Kuadrat Yg Akar Akarnya P 2 Brainly Co Id

Akar Akar Persamaan Kuadrat 2x 3x 4 0 Adalah P Dan Q Persamaan Kuadrat Yg Akar Akarnya P 2 Brainly Co Id

Akar Akar Persamaan Kuadrat 2x 5x 6 0 Adalah P Dan Q Hitunglah Nilai Dari A P Qb P Qc P Brainly Co Id

Akar Akar Persamaan Kuadrat 2x 5x 6 0 Adalah P Dan Q Hitunglah Nilai Dari A P Qb P Qc P Brainly Co Id

Tentukan Jenis Akar Akar Persamaan Kuadrat Berikut Tanpa Terlebih Dahulu Menentukan Akar Brainly Co Id

Tentukan Jenis Akar Akar Persamaan Kuadrat Berikut Tanpa Terlebih Dahulu Menentukan Akar Brainly Co Id

Source : pinterest.com