We Resolve The Logarithmic Equation Log 16 X 2 Log 3x 4 2 Studying Math Math Formulas Equations

We Resolve The Logarithmic Equation Log 16 X 2 Log 3x 4 2 Studying Math Math Formulas Equations

Resolved Logarithmic Equations And Systems And Demostrations Properties Of Logarithms And Change Of Variable Secondary Learning Math Equations Studying Math

Resolved Logarithmic Equations And Systems And Demostrations Properties Of Logarithms And Change Of Variable Secondary Learning Math Equations Studying Math

Resolved Logarithmic Equations And Systems And Demostrations Properties Of Logarithms And Change Of Variabl Studying Math Physics And Mathematics Math Methods

Resolved Logarithmic Equations And Systems And Demostrations Properties Of Logarithms And Change Of Variabl Studying Math Physics And Mathematics Math Methods

We Resolve The Logarithmic Equation 2log X Log 5x 6 Systems Of Equations Algebra Equations

We Resolve The Logarithmic Equation 2log X Log 5x 6 Systems Of Equations Algebra Equations

Pin On Math

Pin On Math

Bone Density Math And Logarithm Introduction Lesson College Algebra Help College Algebra Studying Math

Bone Density Math And Logarithm Introduction Lesson College Algebra Help College Algebra Studying Math

Bone Density Math And Logarithm Introduction Lesson College Algebra Help College Algebra Studying Math

Algebra 2 Worksheets Exponential And Logarithmic Functions Worksheets Algebra 2 Worksheets Thanksgiving Math Worksheets Writing Equations

Algebra 2 Worksheets Exponential And Logarithmic Functions Worksheets Algebra 2 Worksheets Thanksgiving Math Worksheets Writing Equations

Pin Di Mtk

Pin Di Mtk

Solving Log Equations With Different Bases Algebra 2 Pre Calculus Calculus Algebra Equations

Solving Log Equations With Different Bases Algebra 2 Pre Calculus Calculus Algebra Equations

Solve For X When 5 2 Log Base 1 6 Of 6x Mathematics Math Solving

Solve For X When 5 2 Log Base 1 6 Of 6x Mathematics Math Solving

Evaluating Logarithms Without A Calculator Math Tutorials Calculus Mathematics

Evaluating Logarithms Without A Calculator Math Tutorials Calculus Mathematics

Expanding Logarithms Chilimath Teaching Math Math Made Easy College Algebra

Expanding Logarithms Chilimath Teaching Math Math Made Easy College Algebra

These Are The Common Log Rules That Are Very Useful In The Study Of Algebra Math Formulas Log Rules Log Math

These Are The Common Log Rules That Are Very Useful In The Study Of Algebra Math Formulas Log Rules Log Math

We Resolve The Logarithmic Equation Log X Log 30 4 Studying Math Learning Math Systems Of Equations

We Resolve The Logarithmic Equation Log X Log 30 4 Studying Math Learning Math Systems Of Equations

Pin On Kiat Belajar

Pin On Kiat Belajar

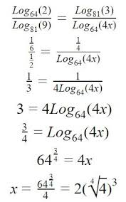
Solve For X When 3 1 4 Log Base 64 Of 4x Math Formulas Math Equations

Solve For X When 3 1 4 Log Base 64 Of 4x Math Formulas Math Equations

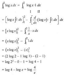
Rbse Solutions For Class 12 Maths Chapter 10 Definite Integral Ex 10 2 Https Www Rbsesolutions Com Class 12 Math Class 12 Maths Studying Math Maths Solutions

Rbse Solutions For Class 12 Maths Chapter 10 Definite Integral Ex 10 2 Https Www Rbsesolutions Com Class 12 Math Class 12 Maths Studying Math Maths Solutions

Logarithm Math Formulas Logic Math Studying Math

Logarithm Math Formulas Logic Math Studying Math

Rbse Solutions For Class 12 Chemistry Chapter 4 Chemical Kinetics Rbsesolutionsforclass12chemistry Rbsesolutions Chemical Kinetics Chemistry Chapter

Rbse Solutions For Class 12 Chemistry Chapter 4 Chemical Kinetics Rbsesolutionsforclass12chemistry Rbsesolutions Chemical Kinetics Chemistry Chapter

F T Log Laws Math Methods Math Sites Log Rules

F T Log Laws Math Methods Math Sites Log Rules

Source : pinterest.com